2019-05-04 15:01:05 来源:mk体育 浏览数:0
新稍是茶树的生长发育中心。生产上通常采摘一芽二叶作为制茶的原材料,新稍的生长发育对茶叶的产量和品质起决定作用,因此,对茶树新梢生长与发育的研究成为各国茶学家的重要研究目标。mkmksport丁兆堂教授领衔的课题组,近几年来在茶树新梢转录水平、蛋白质表达谱及代谢物表达谱方面取得了重要进展,整体研究达国际领先水平。
茶树新梢代谢物是茶叶品质的决定性成份,影响茶叶的滋味、香气及持嫩性。课题组前期研究结果表明,茶树新稍不同组织部位代谢物差异主要集中在有机酸、类黄酮、氨基酸、多元醇和糖等几类物质上。芽中需要更多的能量和氨基酸进行叶绿体的发生和生长。叶片中积累大量的色氨酸和吲哚丙酸,这两种物质可以促进叶片的生长扩大。另外叶片中积累较高含量的糖、糖醇和类黄酮等对茶叶品质有重要影响的物质。而在茎中积累的重要物质有赤霉素A14、L-茶氨酸、焦谷氨酸、4-氨基丁酸和谷氨酰胺,这些物质有利于新稍茶树节间的伸长,同时,茎中大量积累的奎宁酸和莽草酸会对茶树新稍的持嫩性有消极作用(Jiazhi Shen et al, 2019)。

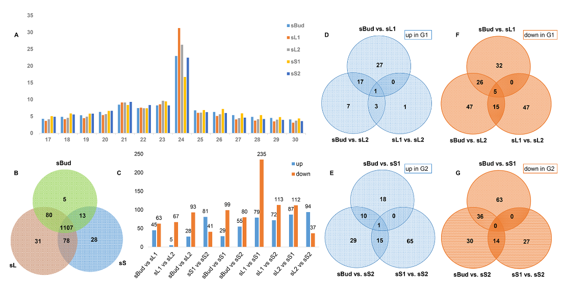
基因网络是茶树新梢生长与发育的调控中心。为了进一步探讨茶树在新梢发育和品质形成过程中关键的miRNA,研究者以4年生‘平阳特早’茶树植株为材料,分别对顶芽、芽下第一叶、第二叶、第一茎节和第二茎节共5个组织进行了miRNA和转录组测序,共建立了15个miRNA文库和mRNA文库。研究者重点定义了茶树中的保守miRNA家族,并分别以芽-一叶-二叶和芽-一茎-二茎两个发育模式分析了芽、叶及茎发育阶段有关的差异miRNA表达谱;研究者通过对新稍中特征性代谢产物茶多酚包括GC、EGC、C、EGCG、EC、ECG,以及咖啡碱和茶氨酸进行定量测定,并与miRNA组和mRNA组进行联合分析,研究发现21个保守miRNA和8对miRNA-TF对最有可能参与调控新梢发育,筛选到至少有2对miRNA-TF-代谢物三联体既参与新梢发育,又与品质形成有关。

该研究结果表明保守miRNA在茶树芽叶发育与品质形成过程中发挥着重要作用:一方面可能与新梢发育过程中初生代谢的形态功能有关,另一方面对茶树新梢品质形成过程中的次生代谢调控具有积极影响;此外还可能在配合转录因子形成复杂的调控网络上发挥功能。

该研究结果发表在国际著名期刊《遗传学前沿》(Frontiers in Genetics)上,得到了国家自然科学基金及泰山学者专项基金等项目支持。mkmksport茶树生物学实验室赵磊博士为论文第一作者,泰山学者特聘专家、山东省茶叶产业体系首席专家丁兆堂教授为论文的通讯作者。
参考文献:Jiazhi Shen, Yu Wang, Zhaotang Ding, Shibo Ding, Hui Wang, Caihong Bi, Linjun Wang, Metabolic analyses reveal growth characteristics of young tea shoots in spring, Scientia Horticulturae Volume 246, 27 February 2019, Pages 478-489, https://doi.org/10.1016/j.scienta.2018.11.022Zhao L, Chen C, Wang Y, Shen J and Ding Z (2019) Conserved MicroRNA Act Boldly During Sprout Development and Quality Formation in Pingyang Tezaocha (Camellia sinensis). Front. Genet. 10:237. doi: 10.3389/fgene.2019.00237.
鲁ICP备13028537号-5 鲁公网安备 37021402000104号
版权所有:Copyright © mk体育(mksport集团)股份公司-MK SPORTS
地址:山东省 青岛市 城阳区 长城路700号 邮编:266109